

哨叫聲信號特征揭示海南中華白海豚的獨特性
文章來源:海洋哺乳動物與海洋生物聲學研究室 | 發布時間:2021-10-14 | 【打印】 【關閉】
海豚頻繁使用聲音來感知水下環境、尋找獵物、躲避捕食者,以及與同類進行交流等等。窄帶調頻哨叫聲被認為主要用于動物社會中個體間的交流,類似于人類的語言。已有研究表明海豚同一物種不同地理種群之間可能跟人類一樣,存在方言。因此,哨叫聲信號特征可以揭示海豚不同地理種群之間的親緣關系,為遺傳或形態數據獲得的信息提供印證或補充。
中華白海豚(又稱“印太駝海豚”;Sousa chinensis)是駝海豚屬四個物種之一,被國際自然保護聯盟(IUCN)評估為“易危”級,是我國國家一級保護動物。主要分布在從東印度洋貫穿東南亞直至中國中部長江入海口的近岸淺水海域。在我國,中華白海豚主要零星地分布在東南沿海,主要包括廈門灣、臺灣島西海岸、珠江口、湛江、北部灣和海南西南海域。目前尚不明確我國東南沿海分布的中華白海豚種群之間是否存在個體交流或基因流動。海南西南海域的中華白海豚種群是于2014年新發現的群體。目前人們對它們的聲信號特性及其與毗鄰海域其它種群哨叫聲的異同還知之甚少。
近日,深海所李松海研究團隊在期刊海洋哺乳動物專業期刊Marine Mammal Science發表了題為“Whistle characteristics of a newly recorded Indo-Pacific humpback dolphin (Sousa chinensis) population in waters southwest of Hainan Island, China, differ from other humpback dolphin populations”的封面論文,揭示海南西南海域新記錄的中華白海豚種群哨叫聲特征與其它中華白海豚種群以及駝海豚其它物種哨叫聲的差異,并指出中華白海豚哨叫聲信號特征存在環境噪聲的適應性。

期刊當期封面(中華白海豚照片由林明利博士于2015.6攝于三亞崖城)
該研究從海南西南海域采集到的226個哨叫聲信號中識別出6種信號類型(圖1),包括直線型,上掃型、凸型、凹型、下掃型和正弦型。其中,直線型最常見,而凸型最少。海南中華白海豚種群哨叫聲基礎頻率最高可達21 kHz,與其它地理種群的哨叫聲類似,但其哨叫聲持續時間高于大多數其它地理種群,哨叫聲拐點復雜性低于除廣西三娘灣種群外的其它地理種群,表明海南中華白海豚種群發出的哨叫聲比除廣西三娘灣種群外的其它所有地理種群哨叫聲更為簡單。

圖1 本研究記錄到的中華白海豚哨叫聲6種哨叫聲聲譜圖:(a)直線型,(b)下掃型,(c)上掃型,(d)凹型,(e)凸型,(f) 正弦型
目前已有不少中華白海豚以及其它駝海豚種群的哨叫聲研究報道,但是不同種群之間哨叫聲信號特征的關系和差異尚不完全清楚。本研究基于哨叫聲信號的頻率和持續時間等聲學特性,采用分層聚類的方法揭示了不同地理種群之間哨叫聲特性的異同(圖2)。研究表明地理相鄰的駝海豚種群之間,哨叫聲的時頻特征更為相似。我國海域的中華白海豚不同地理種群的哨叫聲彼此相似,而馬來西亞中華白海豚種群(S. chinensis)與澳大利亞駝海豚(S. sahulensis)以及印度駝海豚(S. plumbea)種群的哨叫聲上更接近。而在我國水域內,湛江和三娘灣水域的中華白海豚種群在哨叫聲特性上比海南中華白海豚種群更相似。由此推測海南中華白海豚種群與上述其它兩個種群間的個體和基因交換程度可能低于湛江與三娘灣種群之間的個體和基因交換程度,因此海南中華白海豚種群可能是與其地理相鄰種群相比較為獨立的種群。上述工作對南海海域中華白海豚遺傳分化的進一步研究、了解該物種不同地理種群的隔離程度提供了重要的補充和數據支持。
圖2 不同駝海豚地理種群哨叫聲特性相似性的分層聚類結果
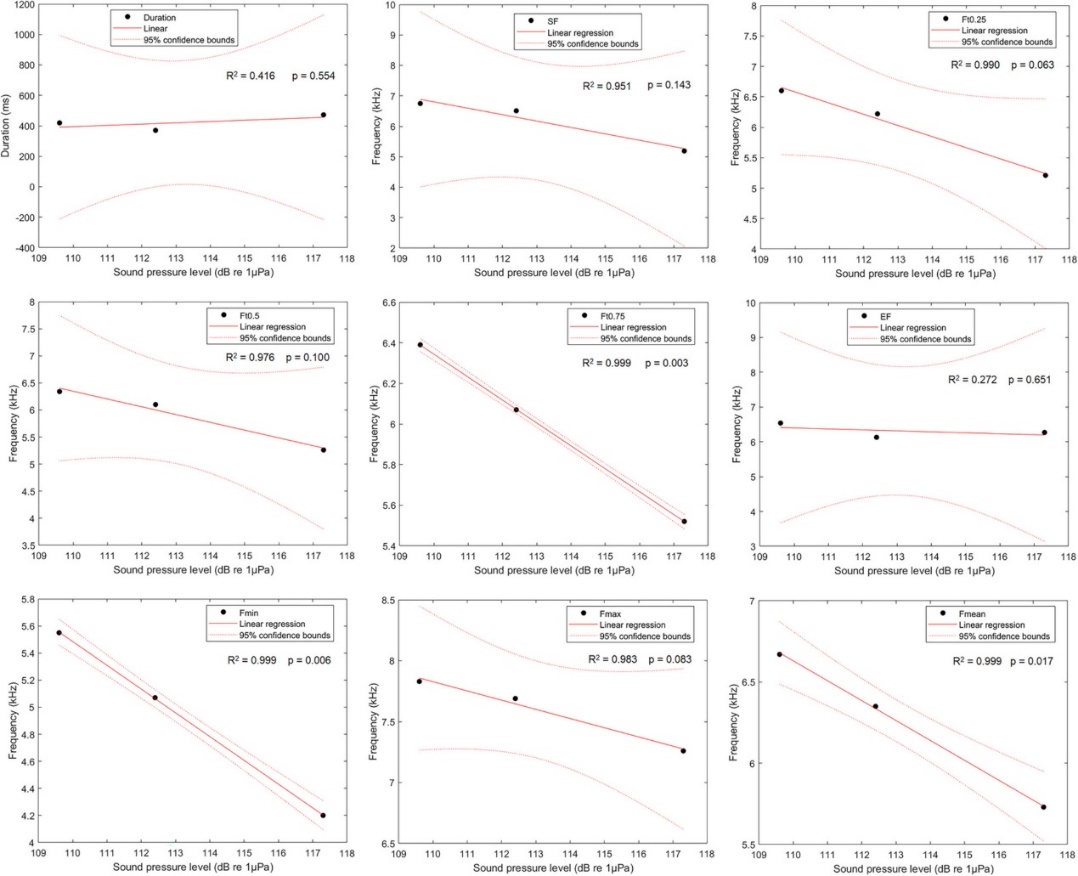
海洋哺乳動物哨叫聲特征的差異與動物群體規模和行為狀態有關,也與棲息地的水下聲學環境有關。研究發現海南、湛江和三娘灣的中華白海豚棲息地水下噪聲聲壓級(SPLs)存在顯著差異,其中海南西南海域噪聲聲壓級顯著高于湛江和三娘灣,而湛江與三娘灣之間無顯著差異(圖3)。動物可以調控它們發出的聲音特性,以在不同的水下聲環境中有效地提高聲音傳播效率。更簡單、變化更少的哨叫聲可以避免環境噪聲的掩蔽作用,而較低頻的聲音可以在較長距離上進行傳輸。與湛江和三娘灣相比,海南中華白海豚傾向于發出持續時間更長、頻率更低、拐點更少的哨叫聲來適應當地更嘈雜的聲環境,從而實現更有效的個體信息交流(圖4)。

圖3 海南、湛江和三娘灣中華白海豚地理種群9個哨叫聲參數比較(a),50-48,000 Hz范圍內的寬頻水下噪聲SPLs(b),環境噪聲功率譜密度(PSD)和頻譜概率密度(SPD)(c1、c2、c3)

圖4 海南、湛江和三娘灣中華白海豚地理種群9個哨叫聲參數與當地棲息地寬頻水下噪聲SPLs 的線性回歸分析
本研究首次對海南西南海域中華白海豚的哨叫聲特征進行了研究。研究結果對于評估我國海域中華白海豚不同地理種群的隔離狀況以及水下噪聲對這些種群的影響具有重要意義。中華白海豚哨叫聲的多樣性可能反映了當地棲息地環境的聲學環境差異、動物地理種群間差異或種群的隔離狀況。海南中華白海豚種群與相鄰種群之間的哨叫聲分化原因可能與遺傳和環境因素有關。未來在更大地理尺度上對動物棲息地聲環境和聲行為的研究將有助于更好理解水下噪聲是如何在種類和種間水平上驅動動物種群之間哨叫聲特征的分化。
深海所李松海研究員為該研究的通訊作者,董黎君助理研究員為論文第一作者。

Copyright © 中國科學院深海科學與工程研究所 備案證號:瓊ICP備13001552號-1
瓊公網安備 46020102000014號
地址: 三亞市鹿回頭路28號 郵編:572000 網站維護:深海所辦公室 郵箱:office@idsse.ac.cn